نقدم لكم سلسلة مواضيع والتصحيح النموذجي لشهادة البكالوريا 2020 – BAC الموضوع خاص بـ: بكالوريا 2020 في اللغة الإنجليزية، شعبة آداب وفلسفة: 
اختبار مادة اللغة الإنجليزية.
تستطيع الاطلاع على موضوع الامتحان مباشرة عبر موقع التربية والتعليم في الجزائر أو يمكنك تحميل موضوع الامتحان بصيغة PDF بالضغط على زر تحميل في الأسفل :
هام: موعد اعلان نتائج شهادة البكالوريا 2020 bac.onec.dz
كما يمكنكم تصفح باقي مواضيع وحلول شهادة البكالوريا جميع من خلال القائمة الموجودة في الأسفل.
اختبار مادة اللغة الإنجليزية.
تستطيع الاطلاع على موضوع الامتحان مباشرة عبر موقع التربية والتعليم في الجزائر أو يمكنك تحميل موضوع الامتحان بصيغة PDF بالضغط على زر تحميل في الأسفل :
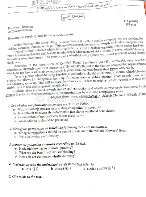
موضوع اللغة الإنجليزية لغات أجنبية بكالوريا 2020:
وفيما يلي موضوع البكالوريا مادة اللغة الإنجليزية :
تحميل موضوع الامتحان بصيغة PDF
طالع أيضا: تصحيح موضوع بكالوريا 2020 في مادة اللغة الإنجليزية شعبة لغات أجنبية.
هام: موعد اعلان نتائج شهادة البكالوريا 2020 bac.onec.dz
( شعبة العلوم التجريبية – شعبة الرياضيات – شعبة آداب و فلسفة – شعبة اللغات الأجنبية – شعبة تقني رياضي – شعبة تسيير و اقتصاد )
بالتوفيق والنجاح للجميع




